Strike-Astrakhan Опубликовано 9 марта, 2012 Жалоба Share Опубликовано 9 марта, 2012 Диагностика неисправностей Работает только выход А. В каком узле произошла поломка? В узле 1 В узле 4 В узле 6 В узле 5 Что-то не догоню.... Ссылка на комментарий Поделиться на другие сайты More sharing options...
merlin666 Опубликовано 9 марта, 2012 Жалоба Share Опубликовано 9 марта, 2012 5 Ссылка на комментарий Поделиться на другие сайты More sharing options...
Ast78512 Опубликовано 9 марта, 2012 Жалоба Share Опубликовано 9 марта, 2012 4 Ссылка на комментарий Поделиться на другие сайты More sharing options...
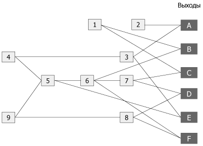
merlin666 Опубликовано 9 марта, 2012 Жалоба Share Опубликовано 9 марта, 2012 Если б не работал 4, то не работал бы и 3-й, значит не работал бы и выход А. Ссылка на комментарий Поделиться на другие сайты More sharing options...
Antipod Опубликовано 9 марта, 2012 Жалоба Share Опубликовано 9 марта, 2012 9 Ссылка на комментарий Поделиться на другие сайты More sharing options...
Strike-Astrakhan Опубликовано 9 марта, 2012 Автор Жалоба Share Опубликовано 9 марта, 2012 9 такого нет варика Ссылка на комментарий Поделиться на другие сайты More sharing options...
Ast78512 Опубликовано 9 марта, 2012 Жалоба Share Опубликовано 9 марта, 2012 интересно а где ВХОД? Как ни отвечай а выходов минимум два работает. Е А Ссылка на комментарий Поделиться на другие сайты More sharing options...
Strike-Astrakhan Опубликовано 9 марта, 2012 Автор Жалоба Share Опубликовано 9 марта, 2012 мне тоже кажется 5 Ссылка на комментарий Поделиться на другие сайты More sharing options...
MаXXL Опубликовано 9 марта, 2012 Жалоба Share Опубликовано 9 марта, 2012 интересно а где ВХОД? Как ни отвечай а выходов минимум два работает. Е А значит 1 и(или) 6 Ссылка на комментарий Поделиться на другие сайты More sharing options...
Ast78512 Опубликовано 9 марта, 2012 Жалоба Share Опубликовано 9 марта, 2012 Ну правильно 5 не работает! И все блоки кроме 2, не работают. 5 блок. P.S. Или 6? А попроще задания есть? Чтобы проследить логику решения. Ссылка на комментарий Поделиться на другие сайты More sharing options...
Van_OK Опубликовано 9 марта, 2012 Жалоба Share Опубликовано 9 марта, 2012 5 блок Ссылка на комментарий Поделиться на другие сайты More sharing options...
Дядя Митяй Опубликовано 9 марта, 2012 Жалоба Share Опубликовано 9 марта, 2012 5 Ссылка на комментарий Поделиться на другие сайты More sharing options...
Моргун Опубликовано 9 марта, 2012 Жалоба Share Опубликовано 9 марта, 2012 1 не работает Ссылка на комментарий Поделиться на другие сайты More sharing options...
Моргун Опубликовано 9 марта, 2012 Жалоба Share Опубликовано 9 марта, 2012 Если бы пятерка тогда и А не работал бы. 1 однозначно. Ссылка на комментарий Поделиться на другие сайты More sharing options...
Моргун Опубликовано 9 марта, 2012 Жалоба Share Опубликовано 9 марта, 2012 От 5 зависят только выходы B C D E F => работает только выход А. Если бы не работал 1, то работали бы выходы А D E F, что не удовлетворяет условию задачи. Черт его знает, но если бы 5, то выходы А и F по отношению к ней симметрично, они бы оба не работали. Ссылка на комментарий Поделиться на другие сайты More sharing options...
artem-k Опубликовано 9 марта, 2012 Жалоба Share Опубликовано 9 марта, 2012 3 вроде. да точно 3-ий Ссылка на комментарий Поделиться на другие сайты More sharing options...
Моргун Опубликовано 9 марта, 2012 Жалоба Share Опубликовано 9 марта, 2012 3 вроде. да точно 3-ий В вариантах нет 3, мне вообще сначала показалось - только в 7. Ссылка на комментарий Поделиться на другие сайты More sharing options...
chX_xch Опубликовано 9 марта, 2012 Жалоба Share Опубликовано 9 марта, 2012 Strike-Astrakhan, на выход должны обе линии рабочие подходить? Или достаточно одной выйти из строя, чтобы выход перестал функционировать? Ссылка на комментарий Поделиться на другие сайты More sharing options...
Моргун Опубликовано 9 марта, 2012 Жалоба Share Опубликовано 9 марта, 2012 Strike-Astrakhan, на выход должны обе линии рабочие подходить? Или достаточно одной выйти из строя, чтобы выход перестал функционировать? Оба выхода должны работать. Выходы у блоков справа, значит неработающий блок будет запирать и выход другого блока. Тут такая штука, что может быть несколько вариантов сразу 5 и 6 например. Да, а если 1 и 4 выйдут из строя, то они А тоже запрут. Ссылка на комментарий Поделиться на другие сайты More sharing options...
chX_xch Опубликовано 9 марта, 2012 Жалоба Share Опубликовано 9 марта, 2012 Моргун, моргай дальше. Ссылка на комментарий Поделиться на другие сайты More sharing options...
Strike-Astrakhan Опубликовано 9 марта, 2012 Автор Жалоба Share Опубликовано 9 марта, 2012 или 9-ый узел. В этих двух случаях будет работать только выход А. если будет 9 не работать, то Е будет рабоать мне кажется... блоки типа как в розетку + и -... если один не работает, значит не работает выход целиком. Ссылка на комментарий Поделиться на другие сайты More sharing options...
chX_xch Опубликовано 9 марта, 2012 Жалоба Share Опубликовано 9 марта, 2012 Strike-Astrakhan Поэтому правильный ответ: не работает 5-ый узел или 9-ый узел. В этих двух случаях будет работать только выход А. Вот как-то так. Ссылка на комментарий Поделиться на другие сайты More sharing options...
КОЛЕСНИК Опубликовано 17 марта, 2012 Жалоба Share Опубликовано 17 марта, 2012 А где вход? Ссылка на комментарий Поделиться на другие сайты More sharing options...
Rundel Опубликовано 17 марта, 2012 Жалоба Share Опубликовано 17 марта, 2012 5 Ссылка на комментарий Поделиться на другие сайты More sharing options...
Рекомендуемые сообщения
Заархивировано
Эта тема находится в архиве и закрыта для дальнейших ответов.